Предмет: Алгебра,
автор: oobondarenko1978
помогите пожалуйста)
Приложения:
Ответы
Автор ответа:
1
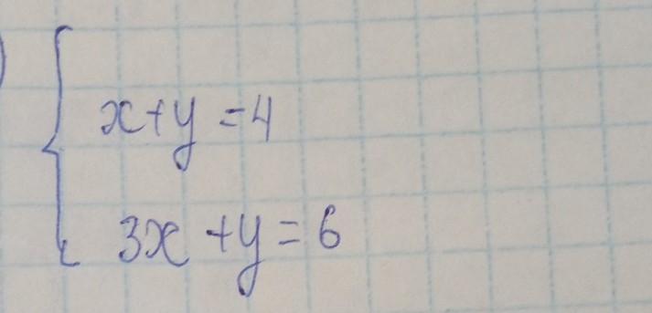
Ответ:
(1;3)................
Приложения:
oobondarenko1978:
спасибо большое)
Похожие вопросы
Предмет: Русский язык,
автор: KARNEDGE
Предмет: Английский язык,
автор: lara2007os84
Предмет: Русский язык,
автор: msrau03
Предмет: Математика,
автор: Lerka2004love