Предмет: Химия,
автор: anastasiaspanchak
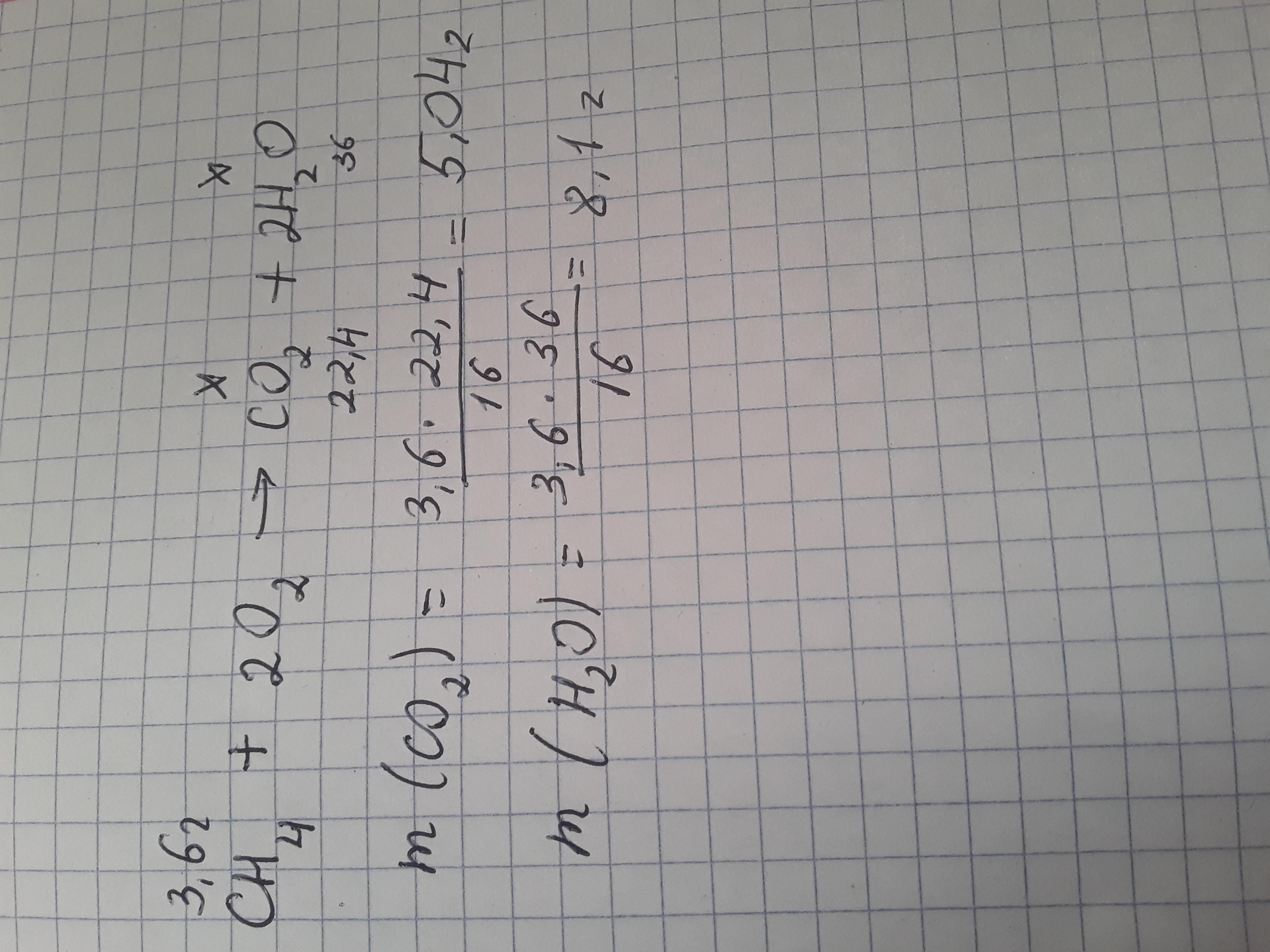
знайти масу продуктів реакції при горінні 3,6 г метану
помогите!!!!
Ответы
Автор ответа:
0
Надеюсь это будет полезно
Приложения:
Похожие вопросы
Предмет: Технология,
автор: фасольдо
Предмет: Русский язык,
автор: romikavasili200
Предмет: Русский язык,
автор: Аноним
Предмет: Математика,
автор: mlpKOKOKO
Предмет: Информатика,
автор: shorokhova21