Предмет: Математика,
автор: nassstyanovikova
Найти: 1) y'(3), если y=2x^2-3x; 2)y'(0), если y=x^2 +x; 3)y'(1), если y=x^2-5x+4; 4) s'(2), если s=t^3
Ответы
Автор ответа:
1
1) у=2х²-3х y=a*xⁿ; y'=a*n*xⁿ⁻¹
у'=2*2*x-3
y'(3)=4*3-3=9
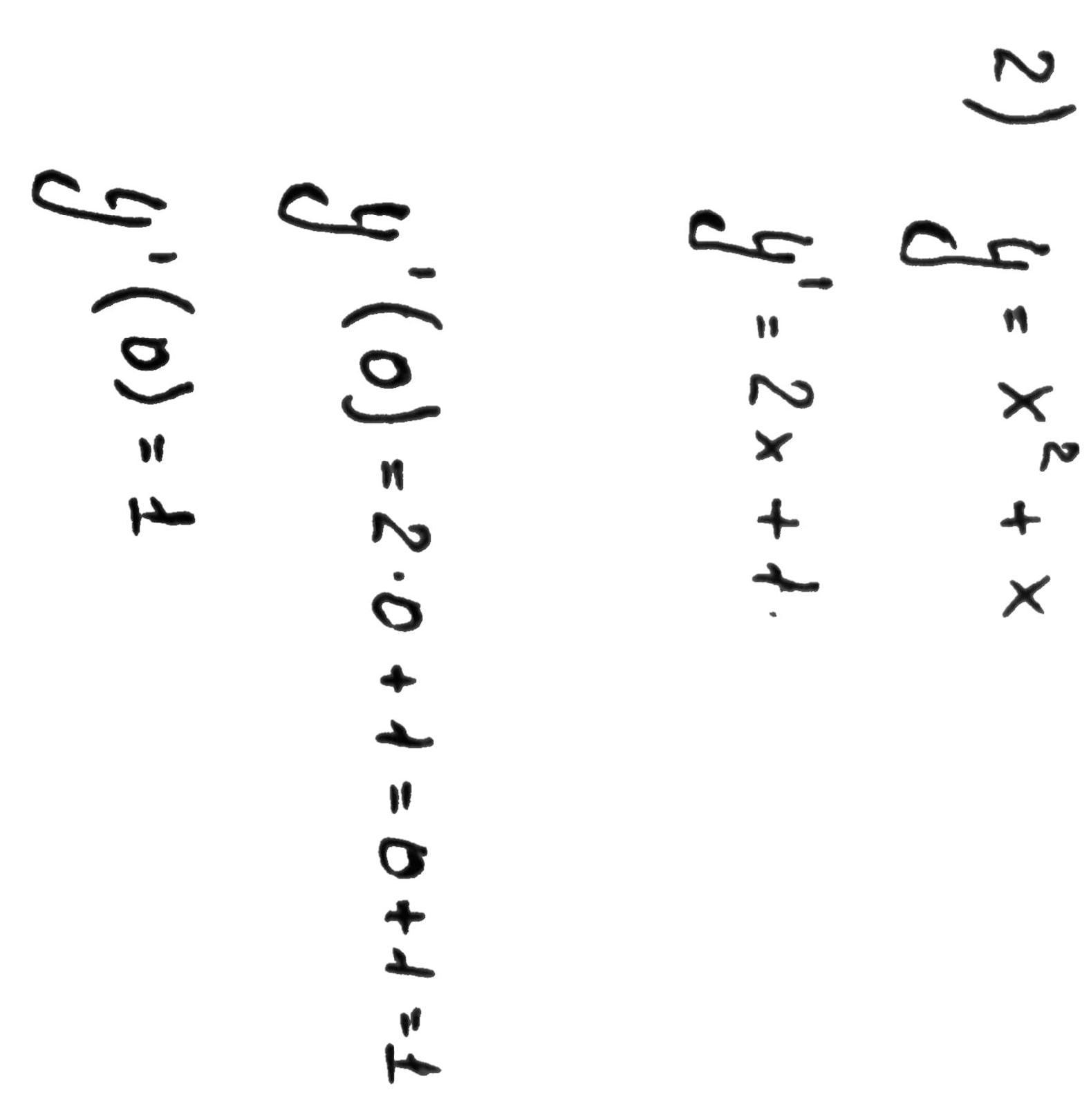
2) y=x²+x
y'=2x+1
y'(0)=2*0+1=1
3) y=x²-5x+4
y'=2x-5
y'(1)=2*1-5=-3
4) s=t³
s'=3t²
s'(2)=3*2²=3*4=12.
Автор ответа:
0
Ответ на закрепленных изображениях
Приложения:
Похожие вопросы
Предмет: Другие предметы,
автор: Ангелисия
Предмет: Русский язык,
автор: Аноним
Предмет: Русский язык,
автор: КсюшаС9
Предмет: Физика,
автор: школьник1089
Предмет: География,
автор: elda721