Предмет: Алгебра,
автор: valikrybka0
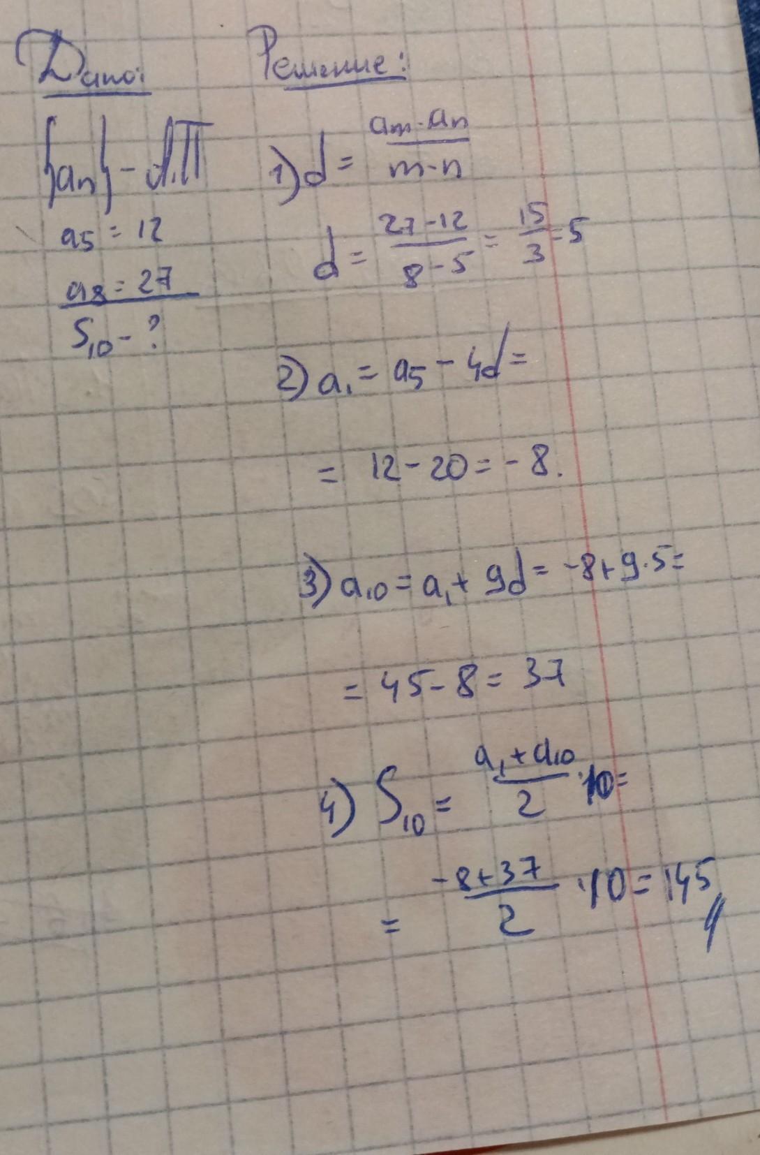
Найдите сумму первых десяти членов арифметической прогрессии, пятый и восьмой члены которой соответственно равны 12 и 27
Ответы
Автор ответа:
0
Объяснение:
Решение на прикреплённом фото
Приложения:
Похожие вопросы
Предмет: Другие предметы,
автор: natalyauz
Предмет: Окружающий мир,
автор: наташа0611
Предмет: Технология,
автор: DINA14102003
Предмет: Физика,
автор: nvasilev283
Предмет: Математика,
автор: Veronika1902