Предмет: Алгебра,
автор: Аноним
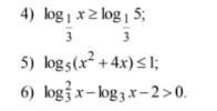
розв'яжіть нерівність, прості логарифми, 100 балів
Приложения:
Ответы
Автор ответа:
1
Ответ:
решение на фотографиях
Приложения:
Похожие вопросы
Предмет: Английский язык,
автор: MarinaloveYrika1
Предмет: Окружающий мир,
автор: Nata5123
Предмет: Другие предметы,
автор: настя971
Предмет: География,
автор: кристина2328