Предмет: Алгебра,
автор: brivach76
Решите, пожалуйста 8,9 и 11
Приложения:
Ответы
Автор ответа:
1
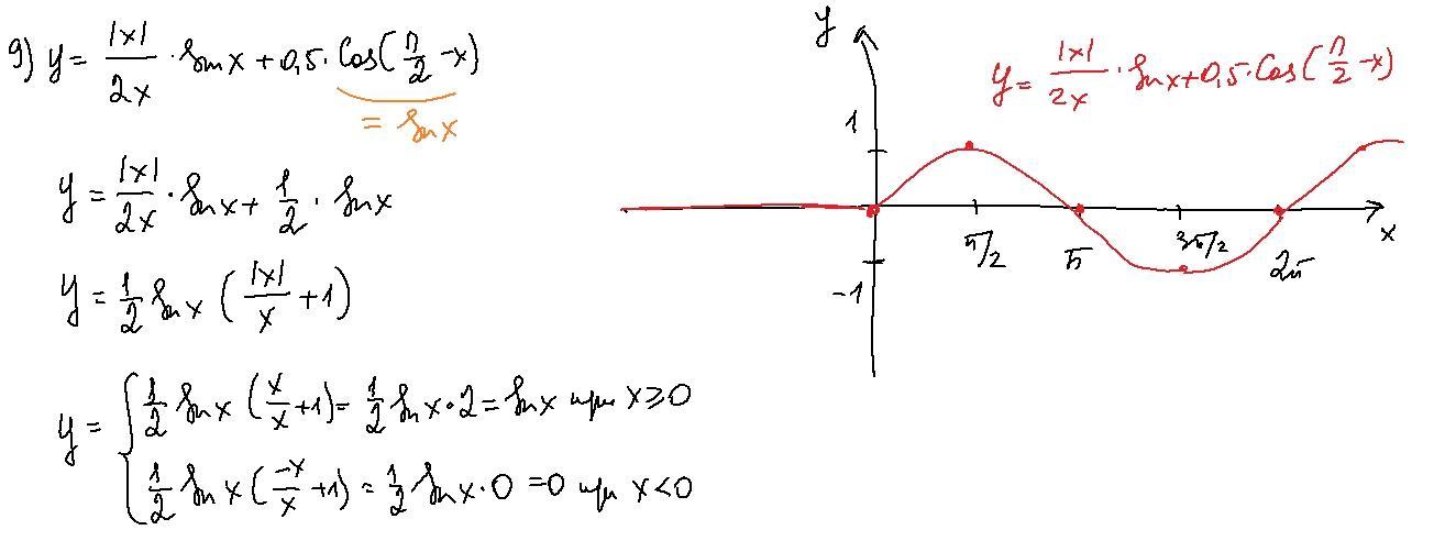
Ответ:
решение см. в прикрепленном фото
Объяснение:
Приложения:
Похожие вопросы
Предмет: Окружающий мир,
автор: Юляха1111111
Предмет: Русский язык,
автор: Marina178712
Предмет: Другие предметы,
автор: 555555555555555553
Предмет: Химия,
автор: danillord007
Предмет: Русский язык,
автор: yaroslavfuntik