Предмет: Математика,
автор: vladzorkov17
Кому не сложно помогите
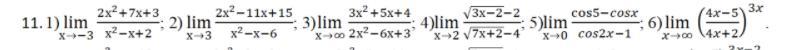
Вычислить предел функций:
Приложения:
Ответы
Автор ответа:
1
Произво́дная функции — понятие дифференциального исчисления,
Приложения:
vladzorkov17:
Спасибо за помощь
Похожие вопросы
Предмет: Русский язык,
автор: algaponowa
Предмет: Русский язык,
автор: levshinaekater1
Предмет: Окружающий мир,
автор: pusena234
Предмет: Українська література,
автор: Аноним
Предмет: Обществознание,
автор: iliapopov777