Предмет: Алгебра,
автор: Russuatarelka
1. Вынесите общий множитель c(2a + 1) - 7(2a + 1
2.Вынесите общий множитель за скобки 4a + 10b – 2
3.Вынесите общий множитель за скобки 3ху - 3хс
4.Вынесите общий множитель 8m - 2my =
Ответы
Автор ответа:
1
Объяснение:
.....................................
Приложения:
Автор ответа:
0
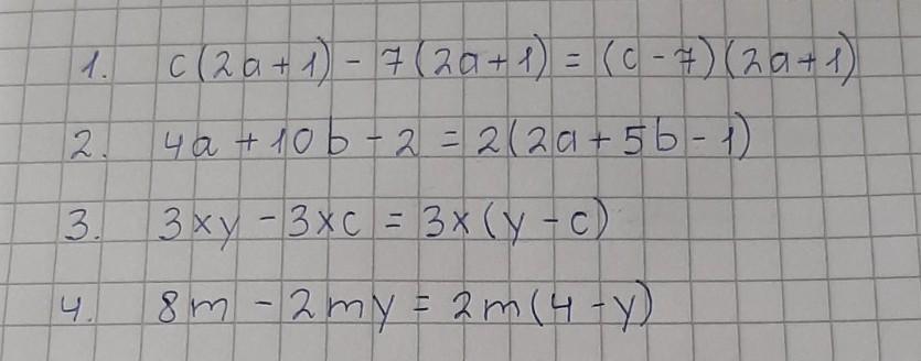
1. с(2а+1)-7(2а+1)=(2а+1)(с-7)
2. 4a+10b-2=2(2а+5b-1)
3. 3xy-3xc=3x(y-c)
4. 8m-2my=2m(4-y)
2. 4a+10b-2=2(2а+5b-1)
3. 3xy-3xc=3x(y-c)
4. 8m-2my=2m(4-y)
Похожие вопросы
Предмет: Русский язык,
автор: никита5001
Предмет: Русский язык,
автор: rossiazhidowa
Предмет: Русский язык,
автор: yanischewskayaT
Предмет: Қазақ тiлi,
автор: 1helpmepleas
Предмет: Русский язык,
автор: LiViLi