Предмет: Математика,
автор: polinasergeevna25
плииииз срочно. к/р очень надо пожалуйста пожалуйста
Приложения:
Ответы
Автор ответа:
0
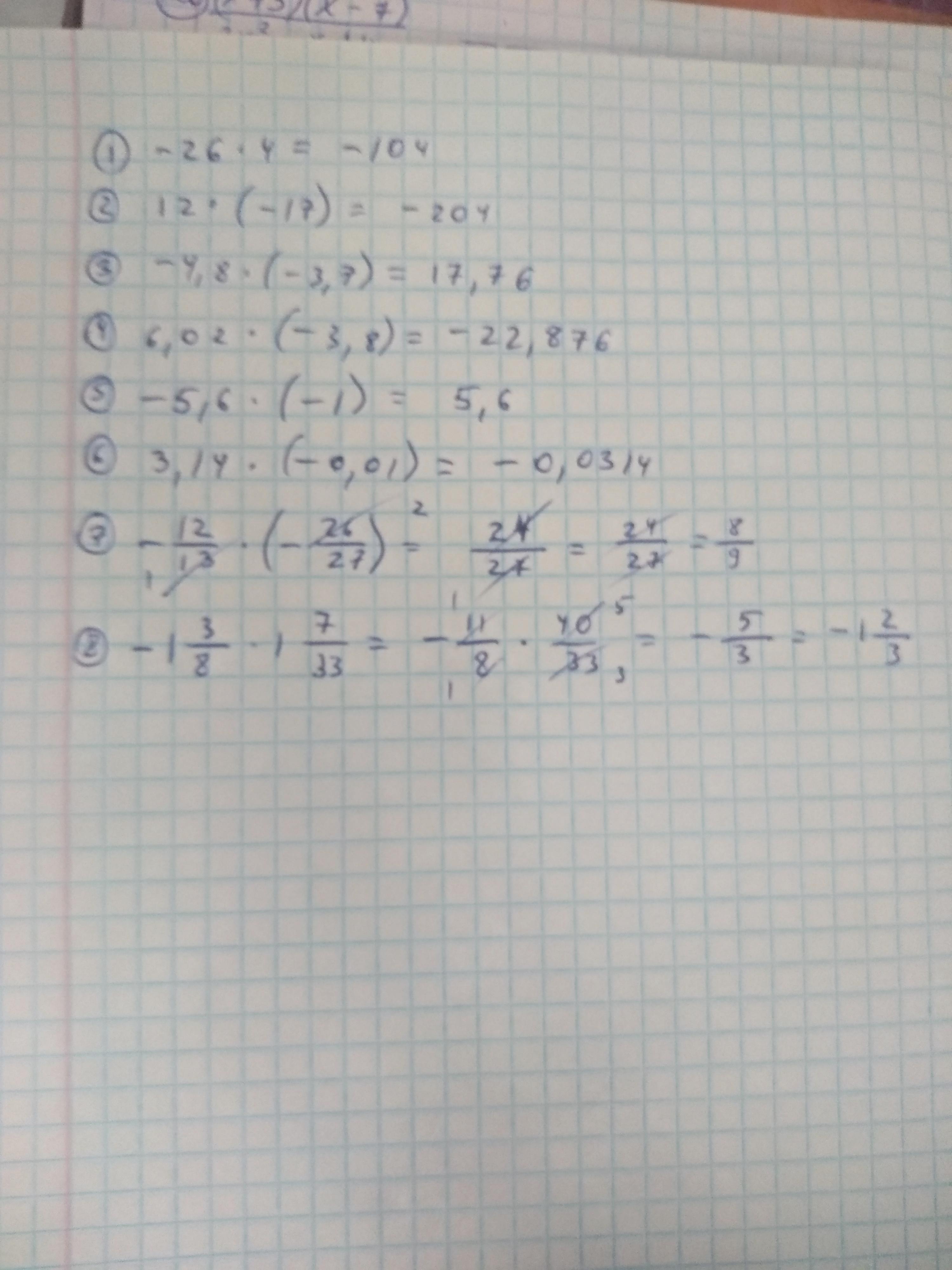
Ответ:
а)-26×4=-104
б)12×(-17)=-204
в)-4,8×(-3,7)=17,76
г)6,02×(-3,8)=-22,876
д)-5,6×(-1)=5,6
е)3,14×(-0,01)=-0,0314
Приложения:
Автор ответа:
0
Ответ:
Пошаговое объяснение:
Ответ
Приложения:
Похожие вопросы
Предмет: Русский язык,
автор: Chiken5678
Предмет: Окружающий мир,
автор: xabibimoro01
Предмет: Русский язык,
автор: OoVaryaoO
Предмет: Алгебра,
автор: рита481
Предмет: Биология,
автор: Самоучка225