Предмет: Математика, автор: dp7717979

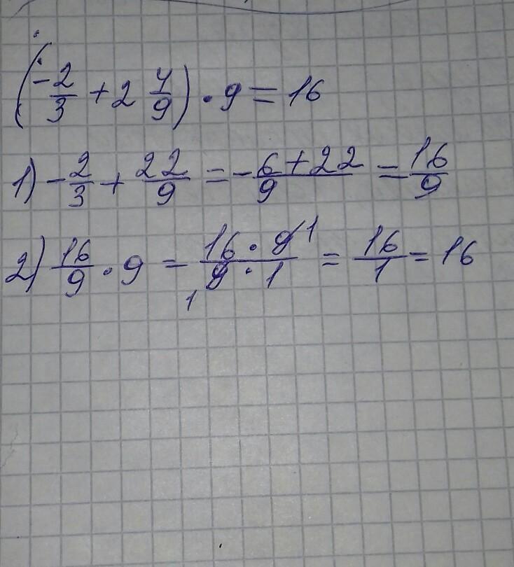
(- 2/3 + 2 4/9) * 9 помогите решить по действиям пожалуйста

Ответы

Автор ответа: myblacksmoothie
1

1) -2/3 + 2 4/9 = 16/9

2) 16/9•9 = 16

Автор ответа: AdylbaevaAliya12
3

Ответ:

Пошаговое объяснение :

Приложения:
Похожие вопросы
Предмет: Қазақ тiлi, автор: babiy02
Предмет: Другие предметы, автор: 16122004темик
Предмет: Биология, автор: вика4076