Предмет: Алгебра,
автор: anjelikaperevozchiko
вычислите пожалуйста
Приложения:
Ответы
Автор ответа:
1
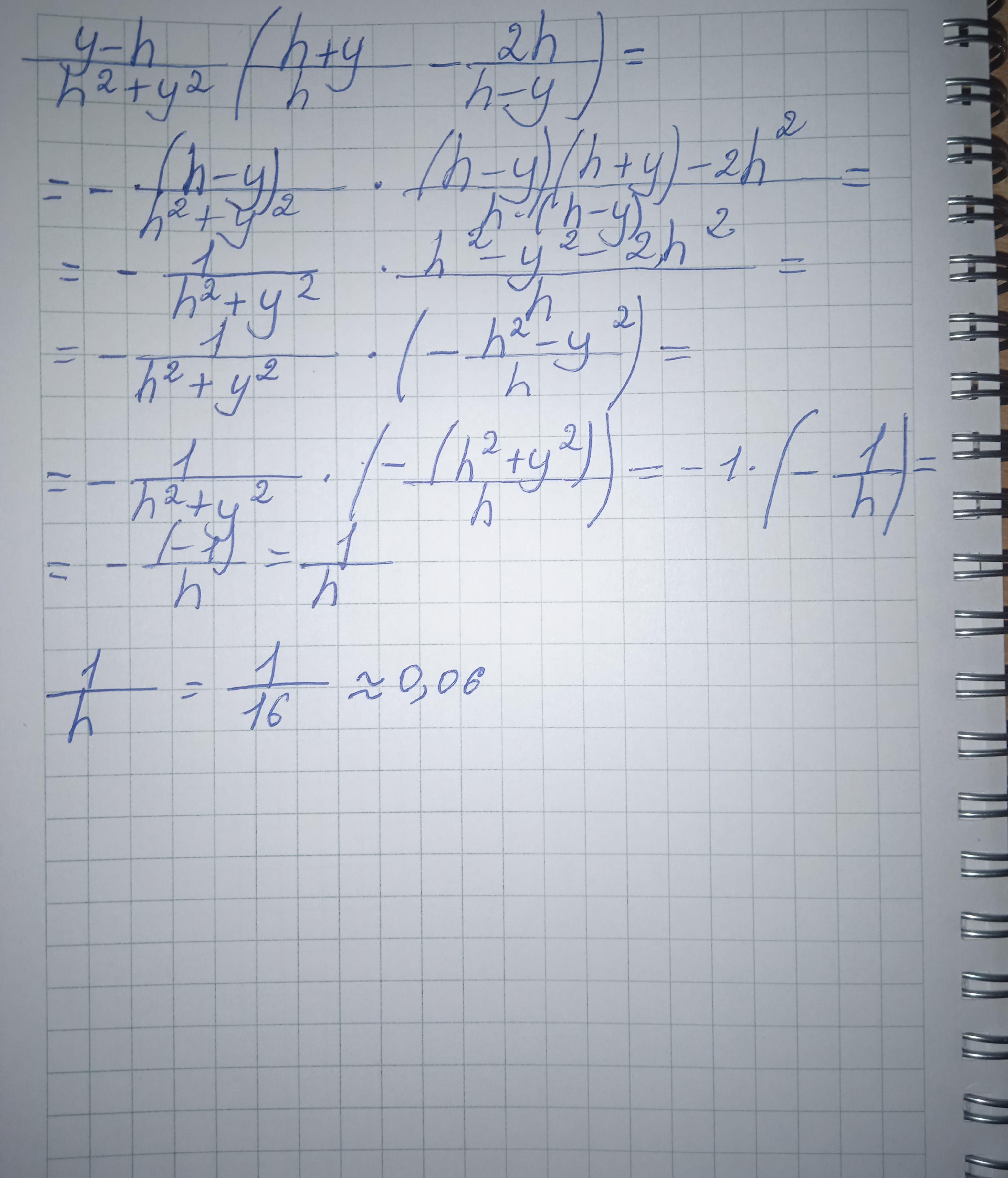
Ответ:
решение смотри на фотографии
Приложения:
artist39:
помогите мне с вопросом
пажалуйста
Автор ответа:
1
Ответ:
Вот, удачи
Объяснение:
Приложения:
Похожие вопросы
Предмет: Другие предметы,
автор: amsrabbit
Предмет: Русский язык,
автор: зверыч
Предмет: Английский язык,
автор: англиский7
Предмет: Химия,
автор: drnewsckij2016