Предмет: Математика,
автор: svetusik20810
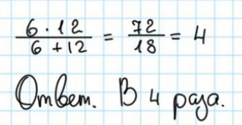
Во сколько раз произведение чисел 6 и 12 больше суммы этих чисел?
Ответы
Автор ответа:
0
Ответ:
В 4 раза.
Пошаговое объяснение:
Приложения:
Похожие вопросы
Предмет: Окружающий мир,
автор: Даша1571705
Предмет: Русский язык,
автор: Алимжан11
Предмет: Русский язык,
автор: tayakozlovskay
Предмет: Немецкий язык,
автор: Sociopad1
Предмет: Литература,
автор: тторрроорр