Предмет: Математика,
автор: vitsim651
ПОМОГИТЕ ПЖалуста срочно с математикой
1. Найти координаты вектора
А(-3;5) и В(-2;-8) АВ =
М(0;-5) и N(-1;5) MN =
2. Найти длину вектора по координатам начальной и конечной точки:
Е(-7;13) и F(22;-18) |EF| =
3. Найти длину, вектора по его координатам:
d = (-7;-5) |d| =
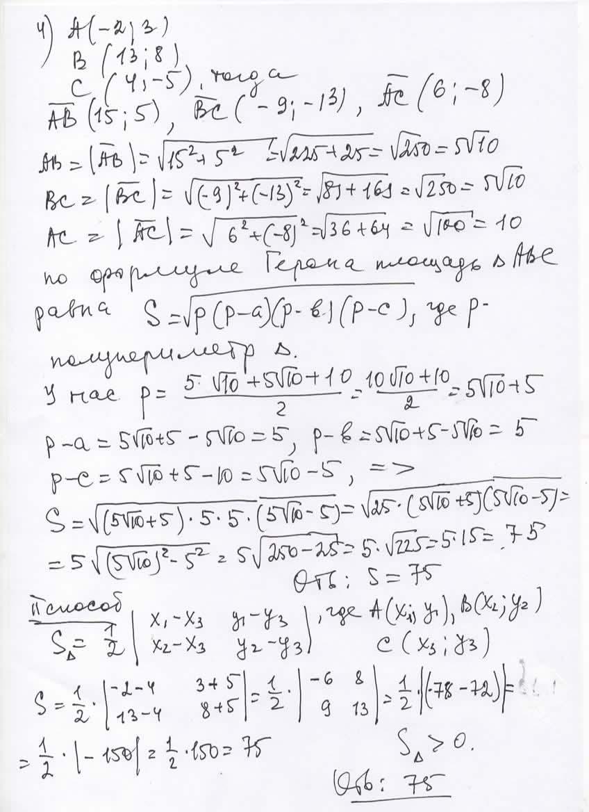
4. Найдите длины сторон треугольника и его площадь, если вершинами треугольника являются точки А(-2;3), В(13;8), С(4;-5)
Ответы
Автор ответа:
1
Ответ:
Пошаговое объяснение:1) АВ=(-2+3; -8-5)= (1;-13)
MN=(-1-0; 5+5)= (-1; 10)
2) |EF= (22+7; -18-13)= (29; -31)
|EF|=√29²+(-31)²=√841+961=√1802
3) d=(-7;-5) ⇒|d|=√(-7)²+(-5)²=√49+25=√74
4)
По формуле получаем:
Приложения:
Похожие вопросы
Предмет: Қазақ тiлi,
автор: Нур11111
Предмет: Русский язык,
автор: АЙБЕКШАМГОНОВ
Предмет: Английский язык,
автор: polina2395
Предмет: Математика,
автор: gamenekit6