Предмет: Математика, автор: killmealish

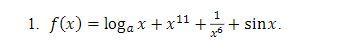
Найдите, пожалуйста, производную следующей функций:

Приложения:

Ответы

Автор ответа: Miroslava227
0

Ответ:

решение на фотографии.

Приложения:
Похожие вопросы
Предмет: Русский язык, автор: ahun2001ahun
СРОЧНО !!!!

6. Расставь пропущенные знаки препинания при причастных и деепричастных оборотах.
1.Осенний ветер нагоняя тучи открыл в кустах звериные лазы.
2. Отец уселся в лодку и ухватившись за ее края стал внимательно рассматривать днище.
3. Лодка сердито разбивала преграждавшие ей путь волны пролетая пространство между ними почти по воздуху.
4. Между небом и землей замирая звенели непрерывные трели жаворонка.
5. Шумит размахивая вершинами деревьев старый лес подступивший к берегам.
6. Молодой человек пододвинул кресло и сцепив руки на коленях сел.
7. Медведь разбуженный выстрелами с неохотой оставил нагретое место и разгребая лапами снег остановился.

7. Раскрой скобки
1. (не)подготовленное выступление
2. (не)подготовив доклада
3. (не)продумав маршрут
4. (ни)кем (не)продуманный маршрут
5. (не)продуман
6. идти (не)говоря ни слова
7. (не)замеченная ошибка
8. (не)заметив ошибки