Предмет: Математика,
автор: sadoyanm1969
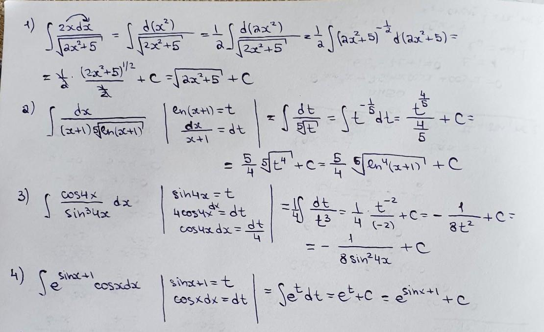
Найти интегралы. Помогите пожалуйста!
Приложения:
Ответы
Автор ответа:
0
Ответ:
решение на фотографиях
Приложения:
Похожие вопросы
Предмет: Русский язык,
автор: бомба4
Предмет: Русский язык,
автор: venera371
Предмет: Русский язык,
автор: pyshoc2013
Предмет: Алгебра,
автор: melis9
Предмет: Алгебра,
автор: ruslanzoloto