Предмет: Математика,
автор: wwttww
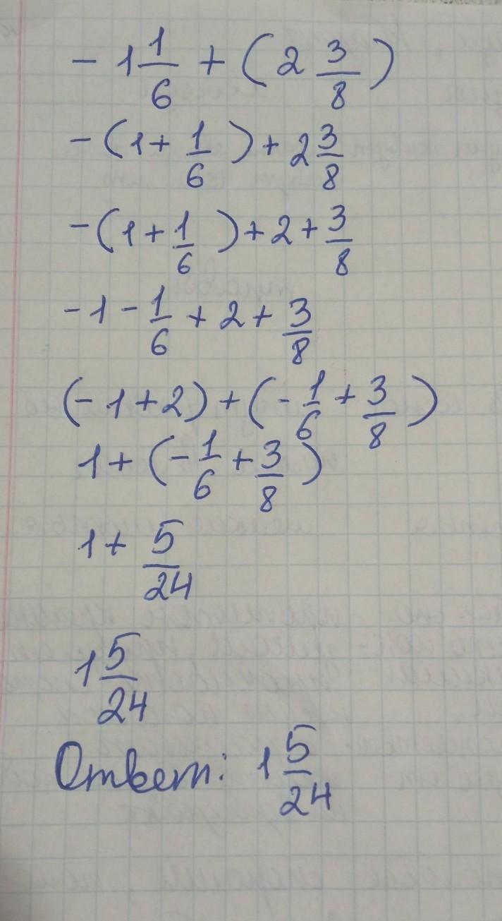
-1⅙+(2⅜) помогите пожалуйста очень нужно
Ответы
Автор ответа:
1
Ответ:
Пошаговое объяснение:
-1⅙+(2⅜)=-1 4/24+2 9/24=1 5/24
Автор ответа:
0
Ответ:
ответ: 1 5/24
Пошаговое объяснение:
всё подробно на фото
Приложения:
Похожие вопросы
Предмет: Русский язык,
автор: maksimysiz
Предмет: Русский язык,
автор: 02042012
Предмет: Окружающий мир,
автор: artem181
Предмет: Русский язык,
автор: megadens10
Предмет: Немецкий язык,
автор: kitaykarina