Предмет: Алгебра, автор: kristirr170

100 Баллов
9 класс
Кто решит не правильно, или напишет недостоверную информацию, бан баллы отберу.

Приложения:

Ответы

Автор ответа: hote
1

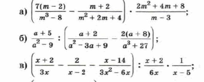
a)

\displaystyle \bigg(\frac{7(m-2)}{(m-2)(m^2+2m+4)}-\frac{m+2}{m^2+2m+4} \bigg)*\frac{2m^2+4m+8}{m-3}=\\\\=\bigg(\frac{7}{m^2+2m+4}-\frac{m+2}{m^2+2m+4}\bigg)*\frac{2(m^2+2m+4)}{m-3}=\\\\=\frac{7-m-2}{m^2+2m+4}*\frac{2(m^2+2m+4)}{m-3}=\frac{(5-m)*2}{m-3}

б)

\displaystyle \frac{a+5}{(a-3)(a+3)}:\bigg(\frac{a+2}{a^2-3a+9}-\frac{2(a+8)}{(a+3)(a^2-3a+9)}\bigg)=\\\\=\frac{a+5}{(a-3)(a+3)}:\bigg(\frac{(a+2)(a+3)-2(a+8)}{(a+3)(a^2-3a+9)}\bigg)=\\\\=\frac{(a+5)*(a+3)(a^2-3a+9)}{(a-3)(a+3)(a^2+5a+6-2a-16)}=\\\\=\frac{(a+5)(a^2-3a+9)}{(a-3)(a^2+3a-10)}=\frac{(a+5)(a^2-3a+9)}{(a-3)(a+5)(a-2)}=\frac{a^2-3a+9}{(a-3)(a-2)}

в)

\displaystyle \bigg(\frac{x+2}{3x}-\frac{2}{x-2}-\frac{x-14}{3x(x-2)}\bigg)*\frac{6x}{(x+2)}*\frac{1}{x-5}=\\\\=\bigg(\frac{(x+2)(x-2)-2*3x-(x-14)}{3x(x-2)}\bigg)*\frac{6x}{(x+2)(x-5)}=\\\\=\frac{x^2-4-6x-x+14}{(x-2)}*\frac{2}{(x+2)(x-5)}=\\\\=\frac{x^2-7x+10}{(x-2)}*\frac{2}{(x+2)(x-5)}= \frac{(x-5)(x-2)*2}{(x-2)(x+5)(x-5)}=\frac{2}{x+5}


Аноним: Здраствуйте, не могли бы вы мне тоже подсобить с алгеброй? Был бы вам очень благодарен
https://znanija.com/task/43566502
Похожие вопросы