Предмет: Алгебра,
автор: katyasakalova1932
ПОМОГИТЕ ПОЖАЛУЙСТА!!
СРОЧНО!!
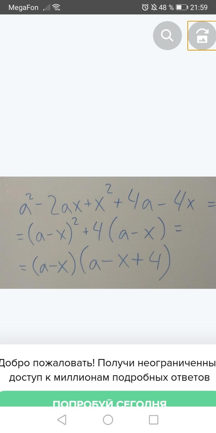
а²-2аx+x²+4a-4x
Ответы
Автор ответа:
1
Ответ:
Объяснение:
Вот
Приложения:
katyasakalova1932:
,спасибо ❤️
Похожие вопросы
Предмет: Русский язык,
автор: VELVEL2011
Предмет: Английский язык,
автор: mchata40
Предмет: Русский язык,
автор: AidanaBazarbaeva
Предмет: Математика,
автор: gasanova2006
Предмет: Литература,
автор: Тимоха4560