Предмет: Математика,
автор: yearoa
Решите пожалуйста математику
Приложения:
Ответы
Автор ответа:
2
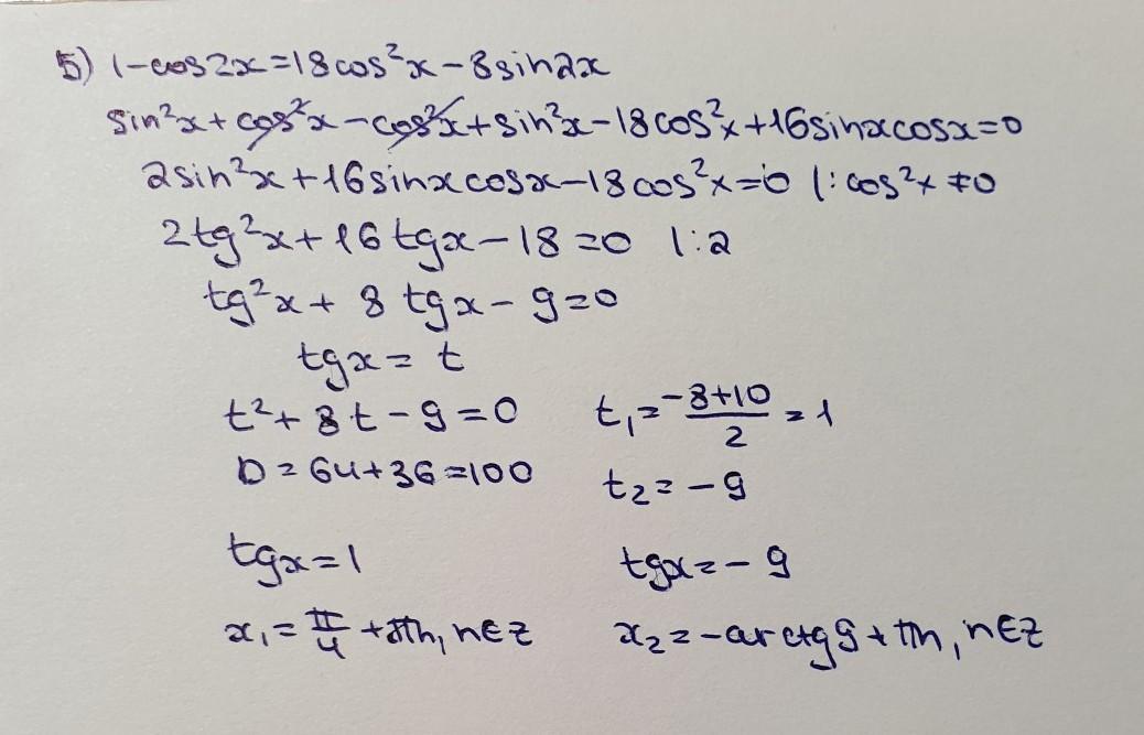
Ответ:
решение на фотографиях
Приложения:
Похожие вопросы
Предмет: Русский язык,
автор: valyashedova
Предмет: Русский язык,
автор: Маша211120031
Предмет: Русский язык,
автор: imyg20
Предмет: Математика,
автор: Slava4354
Предмет: Литература,
автор: unicorn22376