Предмет: Алгебра,
автор: Mihals
Решить уравнение:
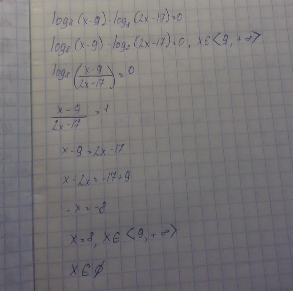
log₈(x - 9) - log₈(2x - 17) = 0
Ответы
Автор ответа:
1
- ответ на фото
- •••••••••••••••••
Приложения:
Автор ответа:
2
x - 9 > 0; 2x - 17 > 0 - ОДЗ
x > 9; x > 8,5
x > 9
log₈(x - 9) = log₈(2x - 17)
x - 9 = 2x - 17
2x - x = 17 - 9
x = 8 - не подходит! x должен быть > 9
Нет решений!
Похожие вопросы
Предмет: Окружающий мир,
автор: mamaira78
Предмет: Другие предметы,
автор: elizaveta2808
Предмет: Русский язык,
автор: Дану11
Предмет: Русский язык,
автор: Kudashov
Предмет: Английский язык,
автор: novkkkkk