Предмет: Алгебра,
автор: Аноним
Дайте ответ срочно нужно! Дам 30б
задание на картнке
Приложения:
Ответы
Автор ответа:
1
Ответ:
там не сложно и делается по формуле
Приложения:
Автор ответа:
1
Ответ:
Вот ответ
Объяснение:
Не зачто можно через фотомачь
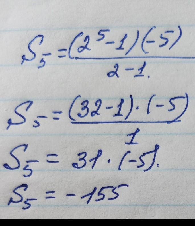
Приложения:
zguranikita05:
новые умники?
Похожие вопросы
Предмет: Другие предметы,
автор: миниум
Предмет: Русский язык,
автор: Asemai90
Предмет: Окружающий мир,
автор: Gelik2005
Предмет: Русский язык,
автор: 8950688945874577
Предмет: Физика,
автор: YulianaUnicorn