Предмет: Алгебра,
автор: maralbukovadze944
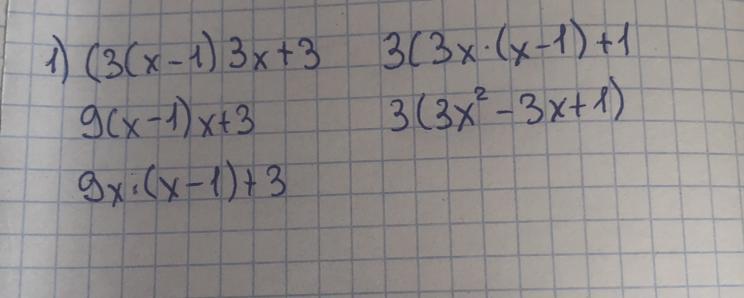
3. Решите систему линейных неравенств
(3(х – 1) 3х+ 3
(5(х + 3) > 2х - 3
Ответы
Автор ответа:
1
вот только первое есть.
Приложения:
Похожие вопросы
Предмет: Английский язык,
автор: Березушка
Предмет: Английский язык,
автор: vladiksergovan1
Предмет: Английский язык,
автор: Колян694
Предмет: Английский язык,
автор: КУТЕЛЬКАТЯ
Предмет: Математика,
автор: AnashkinaAlina1