Предмет: Алгебра,
автор: Gaara8
Помогите пожалуйста!
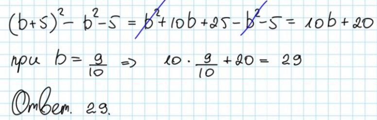
Найдите значение выражения (b+5)^2-b^2-5 при b=9/10
Ответы
Автор ответа:
17
Ответ:
Ответ: 29
Объяснение:
Приложения:
Похожие вопросы
Предмет: Русский язык,
автор: нина52
Предмет: Русский язык,
автор: olgaivanova04
Предмет: Русский язык,
автор: mikytik21
Предмет: Русский язык,
автор: markmironof
Предмет: Алгебра,
автор: врма