Предмет: Алгебра,
автор: heyzhanna
Помогите пожалуйста кто нибудь
Приложения:
Ответы
Автор ответа:
1
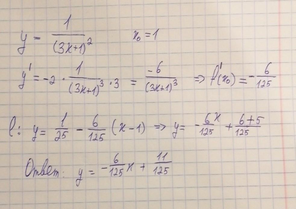
Ответ:
решение на фото ...........
Приложения:
Похожие вопросы
Предмет: Английский язык,
автор: anife1
Предмет: Русский язык,
автор: alis51
Предмет: Русский язык,
автор: guliyast87
Предмет: История,
автор: malysh8181
Предмет: Английский язык,
автор: Арина211105