Предмет: Алгебра,
автор: whitetiger234543
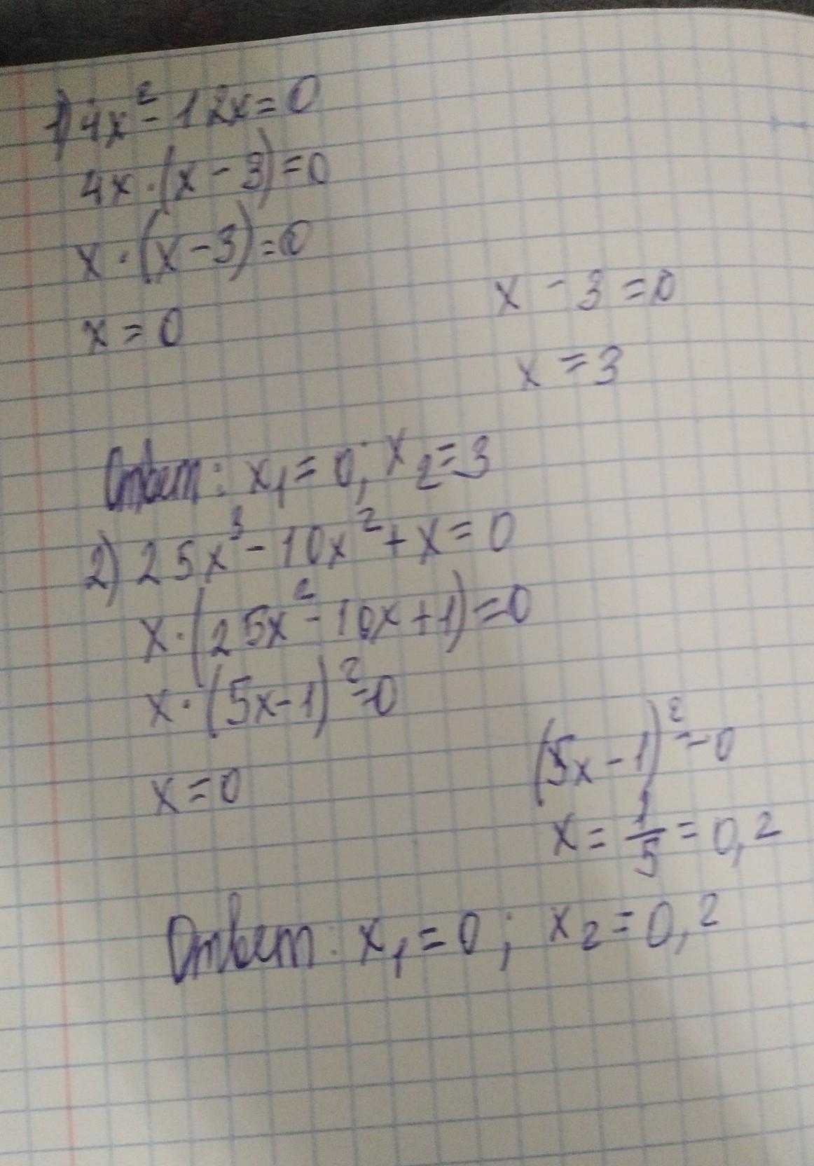
1) 4x² – 12x = 0
2)25x³-10x²+x=0
помогите пожалуйста даю 35
Ответы
Автор ответа:
1
Ответ:
Смотри Ответ на фотографии.
Приложения:
whitetiger234543:
спасибо большое
Автор ответа:
1
1) 4x(x-3)=0
4x=0
x-3=0
x=0
x=3
2)x(25x^2-10x+1)=0
x=0
25x^2-10x+1=0
d=0
х=1/5
ответ: х=0; х=1/5
4x=0
x-3=0
x=0
x=3
2)x(25x^2-10x+1)=0
x=0
25x^2-10x+1=0
d=0
х=1/5
ответ: х=0; х=1/5
Похожие вопросы
Предмет: Русский язык,
автор: lispraga
Предмет: Английский язык,
автор: elina1921
Предмет: Русский язык,
автор: 111152
Предмет: Математика,
автор: dimas19793
Предмет: Литература,
автор: PakGnet2003