Предмет: Алгебра,
автор: figuskivsem
Решите срочно даю 50 баллов заранее спасибо
Приложения:
Ответы
Автор ответа:
0
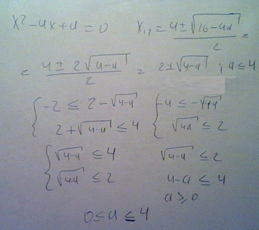
Ответ:
Объяснение:
--------------------------------
Приложения:
Похожие вопросы
Предмет: Русский язык,
автор: к1234
Предмет: Русский язык,
автор: dashaklubnyasha
Предмет: Русский язык,
автор: Дуся245
Предмет: Математика,
автор: Noname20193