Предмет: Алгебра,
автор: danilgnatenko1234567
Алгебра пожалуйста решите
Разложите многочлен на множители
Приложения:
Ответы
Автор ответа:
1
Объяснение:
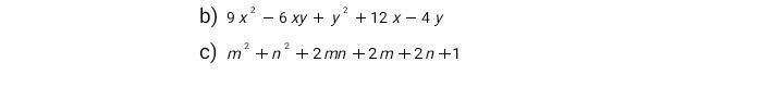
c) (m+n)^2 +2(m+n) +1=((m+n)+1)^2
b)(3x-y)^2 +4(3x-y)
Похожие вопросы
Предмет: Русский язык,
автор: бананчик41
Предмет: Українська мова,
автор: Bogdan081
Предмет: Русский язык,
автор: Мехроначка
Предмет: Математика,
автор: arinaari11
Предмет: Химия,
автор: Lera260602