Предмет: Математика,
автор: Аноним
Решите пожалуйста срочно дам 5 баллов матем
Приложения:
Ответы
Автор ответа:
1
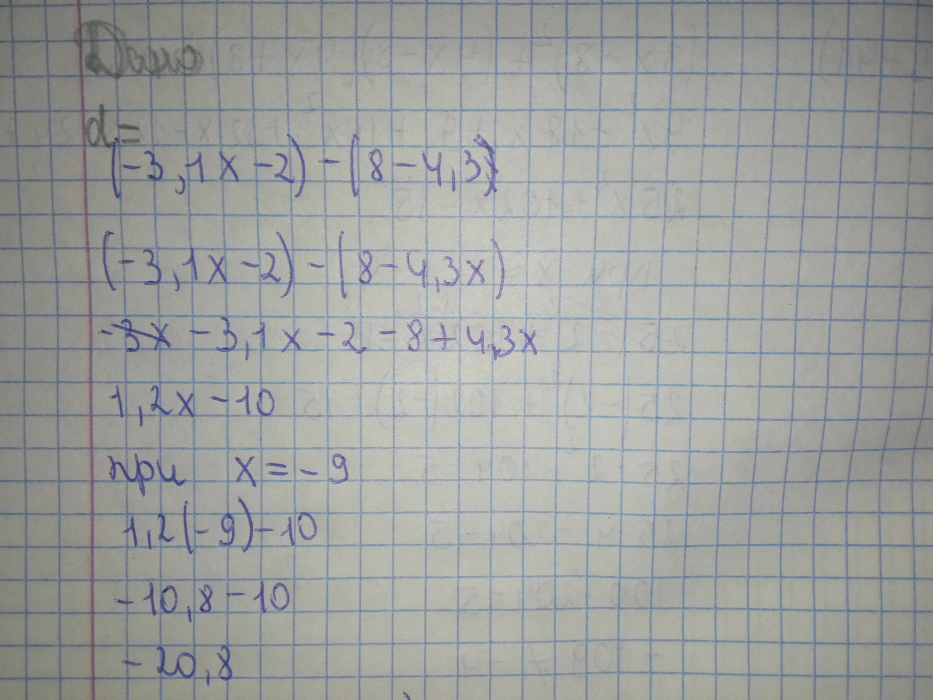
Ответ:
Это номер 1
Пошаговое объяснение:
Приложения:
Похожие вопросы
Предмет: Русский язык,
автор: tehmine1985
Предмет: Қазақ тiлi,
автор: Nastya20020716
Предмет: Русский язык,
автор: nusa1nuhjk
Предмет: Русский язык,
автор: умный342
Предмет: Математика,
автор: Miya688