Предмет: Алгебра,
автор: Аноним
помогите пожалуйста, последние задание которое нужно сделать
Приложения:
Ответы
Автор ответа:
1
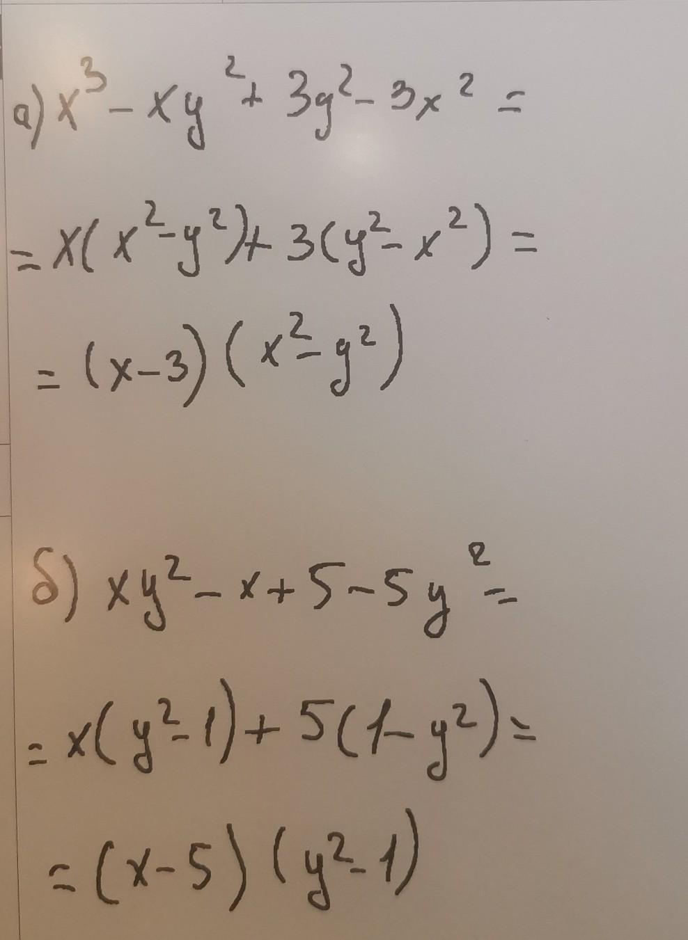
Ответ:
на фото............
......
Приложения:
Похожие вопросы
Предмет: Русский язык,
автор: Аноним
Предмет: Английский язык,
автор: elenademchishi
Предмет: Русский язык,
автор: Аноним
Предмет: Русский язык,
автор: Bahtiar0411
Предмет: Математика,
автор: Lenka2985