Предмет: Алгебра,
автор: parhimovicvlad1
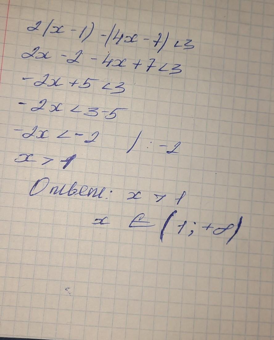
2(x-1)-(4x-7)<3 срочно плз
Ответы
Автор ответа:
2
Объяснение:
ответ на фотографии...
Приложения:
Похожие вопросы
Предмет: Қазақ тiлi,
автор: letnikov24
Предмет: Русский язык,
автор: munisa777
Предмет: Английский язык,
автор: arinaovolkova
Предмет: Русский язык,
автор: няяхя
Предмет: Литература,
автор: aretmii