Предмет: Алгебра,
автор: billybomba223
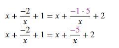
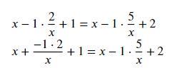
Решите уравнение x-2/x+1=x-5/x+2
Можете как можно быстрее решить, у меня токо 12 минут
billybomba223:
Решение пожалуйста можете дать
Ответы
Автор ответа:
0
x=3
вот ответ снизу на фотках ответи
Приложения:
Решение можно пожалуйста
сеичас
5 минут осталось помогите
Похожие вопросы
Предмет: Русский язык,
автор: ггггш
Предмет: Немецкий язык,
автор: andrys91111
Предмет: Английский язык,
автор: inyang
Предмет: Биология,
автор: valeriavoronaa12