Предмет: Алгебра,
автор: suhorukovaa617
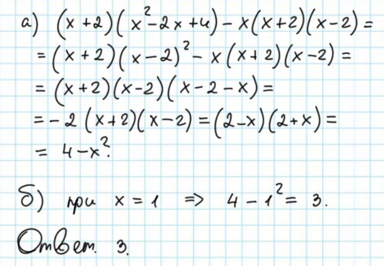
а) упростите выражение (х +2) (х в квадрате -2х +4)-х(х+2)(х-2)
б) покажите что значения выражения (х+2)(х в квадрате -2х +4) -х(х+2)(х-2) при х=1
СРОЧНОООООО ПЖЖЖЖ
Ответы
Автор ответа:
1
Ответ:
решение на картинке: 3
Объяснение:
Приложения:
Похожие вопросы
Предмет: Русский язык,
автор: ЕвгенийБ
Предмет: Русский язык,
автор: 33442
Предмет: Английский язык,
автор: ддд555
Предмет: Русский язык,
автор: Prostotak1337
Предмет: Английский язык,
автор: Careline