Предмет: Математика, автор: Studygerl228

ПОМОГИТЕ ПЖ!!!
Математика 6 класс)) Если можно по быстрее, срочно нужно
ДАЮ 15 БАЛЛОВ

Приложения:

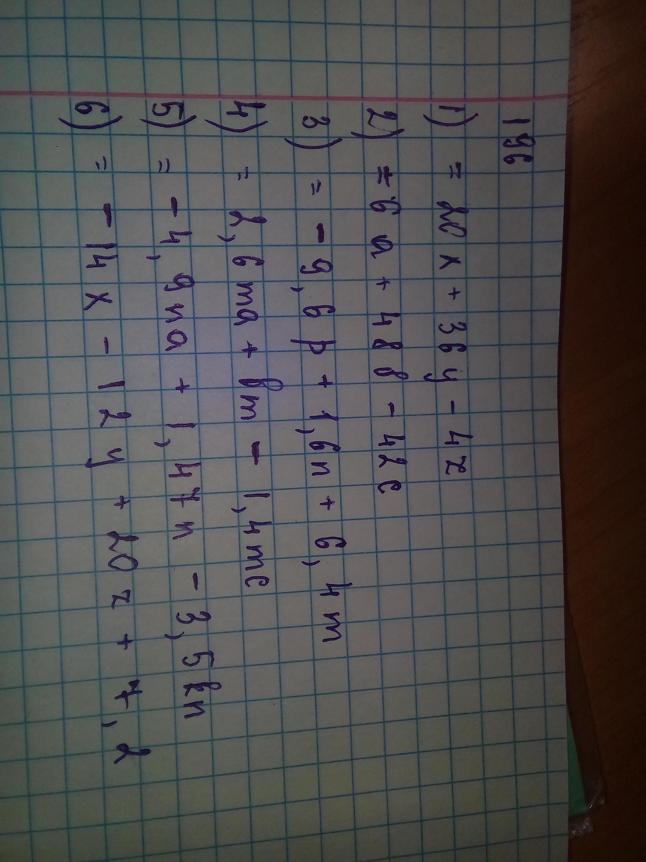
nataschkaaaa: 1)= 20х+36у-5z;2)=6a+48b-42c;3)= -9,6p+1,6n+6,4m;4)=2,6ma+bm-1,4mc;5)= -4,9na+1,47n-3,5kn;6)= -14x-12y+20z+7,2

Ответы

Автор ответа: nataschkaaaa
1

Ответ: 1 фото- 196 номер

2 фото- 197 и 198 номера

Приложения:
Автор ответа: angelina01010
2

Ответ:

Пошаговое объяснение:

196. 4(5х+9y-z)=20x+36y-4z

-6(-a-8b+7c)=6a+48b-42c

(6p-n-4m)(-1,6)=-9,6p+1,6n+6,4m

(-2,6a-b+1,4c)(-m)=2,6am+bm-1,4cm

-0,7n(7a-2,1+5k)=-4,9na+1,47n-3,5nk

-24(7\12x+0,5y-5\6z-0,3)=-14x-12y+20z+7,2

197. 7x+7y=7(x+y)

10ab+3bc-b=b(10a+3c-1)

12mp-16np=4p(3m-4n)

198. (x+7,8)-(8,1+x)=x+7,8-8,1-x=-0,3

-(6,3-y)-(9,1+y)=-6,3+y-9,1-y=-15,4

-(7,2-m+k)+(5,3+k)=-7,2+m-k+5,3+k=-1,9+m

(b-c-4,8)-(-c-b-4,8)=b-c-4,8+c+b+4,8=2b


Studygerl228: Спасибо! Извините конечно, но есть решение?
nataschkaaaa: Всмысле,она же все расписала
Studygerl228: Щне надо, протупила
Похожие вопросы
Предмет: Русский язык, автор: knpnllfedorov
Предмет: Русский язык, автор: бикуля1
Предмет: Русский язык, автор: marinkaaboyan20
Предмет: Английский язык, автор: martashchepkina