Предмет: Математика,
автор: lovalova2216
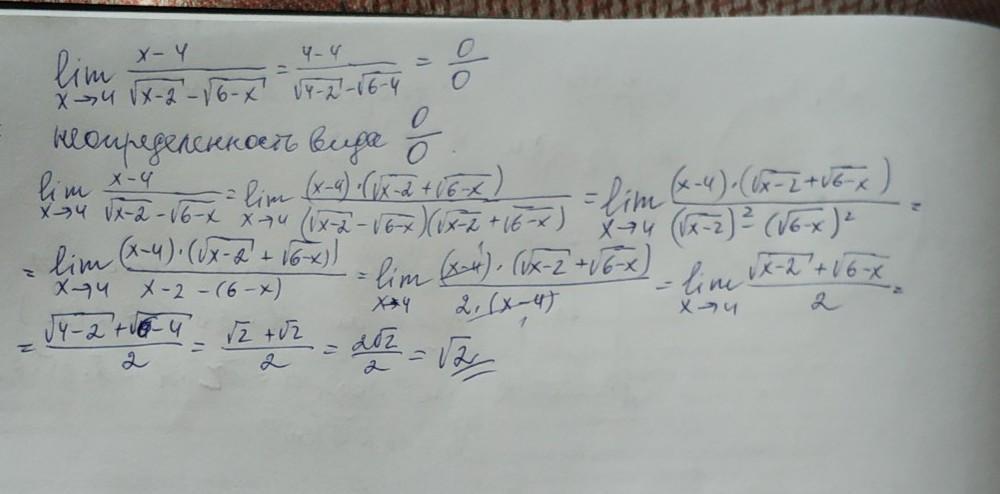
Помогите найти предел
Ответы
Автор ответа:
0
Ответ:
Пошаговое объяснение:
решение во вложении
Приложения:
Похожие вопросы
Предмет: Английский язык,
автор: маша1084
Предмет: Английский язык,
автор: natalikulakova2
Предмет: Другие предметы,
автор: ilyaaaaaa9898
Предмет: Биология,
автор: ВикторияЧугунчик11