Предмет: Алгебра,
автор: Nekit685
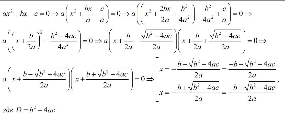
Формула дискременанта вывести вывод и объяснить ax²+bx+c=0 => x²+b/a×x+c/a=0
Ответы
Автор ответа:
1
Ответ:
Объяснение:
ax²+bx+c=0
выделяем полный квадрат
Приложения:
Похожие вопросы
Предмет: Немецкий язык,
автор: КристинаCAT
Предмет: Русский язык,
автор: 89034995858
Предмет: Русский язык,
автор: oksana8644
Предмет: Биология,
автор: кератин1
Предмет: Геометрия,
автор: kustokaracya82