Предмет: Алгебра, автор: honestbee

Пожалуйста помогите!

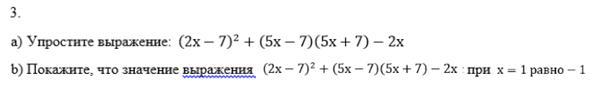
Условие для решения формула а-b^2,далее как нам объяснили свернуть формулу,привести подобные.
Ответ должен получиться: х= -1

Пожалуйста решите,объясните все по шагам.
Спасибо!

Приложения:

Аноним: а^2-2аb+b^2
Это формула сокращённого умножения, если ты об этом
honestbee: Спасибо,но мне нужно решить уравнение которое я приложила к записи.
Аноним: ааааааааааааааааааааааааааааааааааааааааааааааааа
Аноним: сори только это знаю:( чем смог ответил
honestbee: Все равно большое спасибо!

Ответы

Автор ответа: NNNLLL54
1

Ответ:

a)\ \ (2x-7)^2+(5x-7)(5x+7)-2x=\\\\=(4x^2-28x+49)+(25x^2-49)-2x=29x^2-30x=x\, (29x-30)\\\\\\b)\ \ x=1:\ \  (2x-7)^2+(5x-7)(5x+7)-2x=x\, (29x-30)=\\\\=1\cdot (29\cdot 1-30)=29-30=-1


honestbee: Спасибо большое!
NNNLLL54: уже помогла...
Автор ответа: m11m
1

Ответ:

Объяснение:

!!!!!!!!!!!!!!!!!!!!!!!!!

Приложения:

honestbee: Спасибо большое!
Похожие вопросы
Предмет: Русский язык, автор: suhamlinova1981
Предмет: Математика, автор: Armani2007
Предмет: Қазақ тiлi, автор: Java1111