Предмет: Математика,
автор: anelia01112
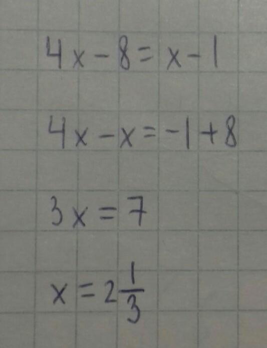
4х-8=х-1
РЕШИТЕ УРАВНЕНИЯ
ПОЖАЛУСТА БЫСТРЕЙ У МЕНЯ СОЧ
Ответы
Автор ответа:
0
Ответ:
Ответ на фото
Пошаговое объяснение:
Ответ на фото
Приложения:
anelia01112:
спасибо
Похожие вопросы
Предмет: Английский язык,
автор: imag
Предмет: Русский язык,
автор: DanVas56
Предмет: Русский язык,
автор: Polinka2324
Предмет: Математика,
автор: tokarviktoria54
Предмет: Русский язык,
автор: Мешкова2005