Предмет: Алгебра,
автор: kaliyeva0421
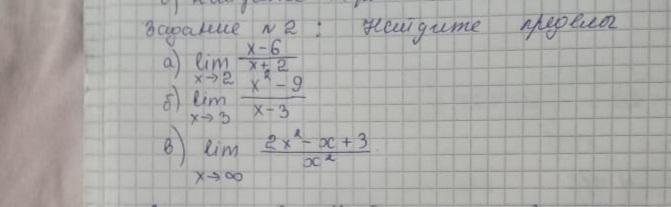
Задание 2 помогитеее
Приложения:
Ответы
Автор ответа:
1
Ответ:
Здесь не все задания
Объяснение:
Приложения:
Похожие вопросы
Предмет: Другие предметы,
автор: xiforer
Предмет: Русский язык,
автор: natalistepanas
Предмет: Английский язык,
автор: sergeizhmakin
Предмет: Математика,
автор: Skvayer
Предмет: Математика,
автор: rrrr31