Предмет: Математика,
автор: alimhaniliastop
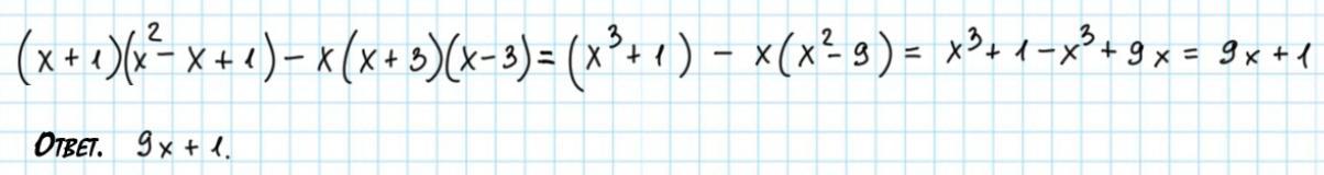
(x + 1)(x2 - x + 1) - x(x + 3)(x-3)
Ответы
Автор ответа:
1
Ответ:
Ответ на картинке
Пошаговое объяснение:
Используется формулы: Сумма кубов и разность квадратов.
Приложения:
Похожие вопросы
Предмет: Русский язык,
автор: мситапопрт
Предмет: Русский язык,
автор: 7575757
Предмет: Русский язык,
автор: chernioglo1981
Предмет: Математика,
автор: kasymova5749
Предмет: Русский язык,
автор: ПРИВЕТЭТОЯ123