Предмет: Алгебра,
автор: Poli2020
СРОЧНО РЕШИТЬ ДАЮ 100 БАЛЛОВ
Приложения:
Ответы
Автор ответа:
1
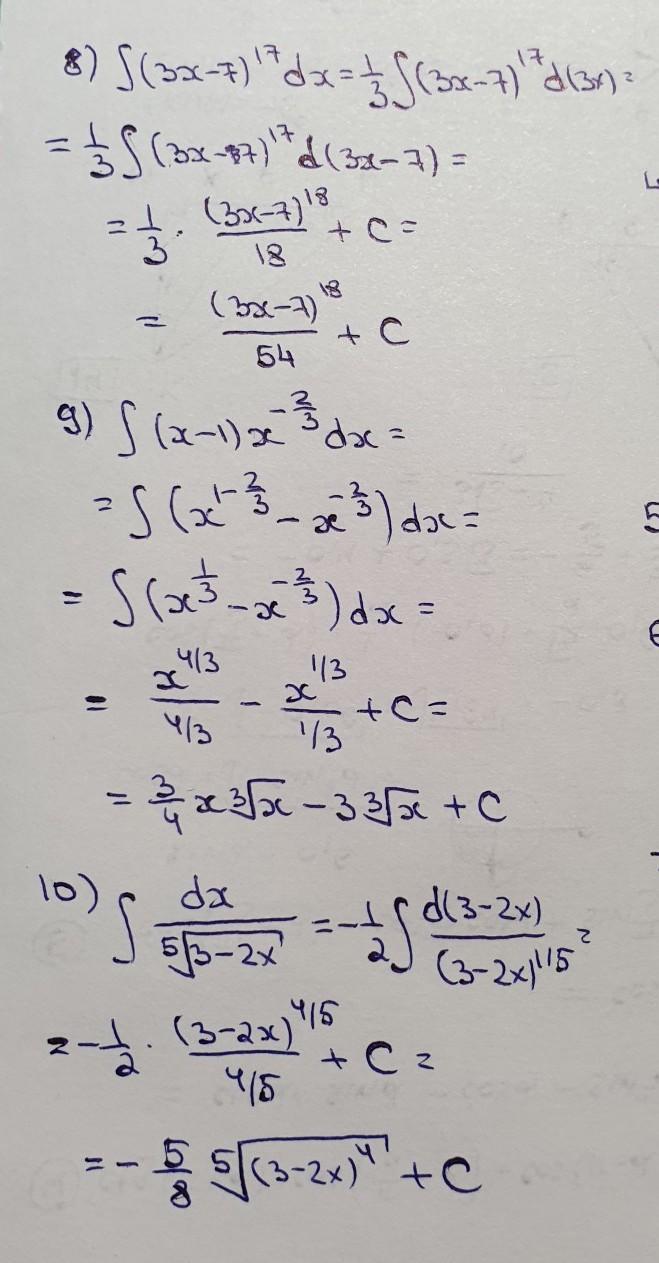
Ответ:
решение на фотографиях
Приложения:
grattttt:
можете помочь ?
https://znanija.com/task/43422026
Похожие вопросы
Предмет: Русский язык,
автор: катя7773
Предмет: Английский язык,
автор: ВикторияА11
Предмет: Қазақ тiлi,
автор: svp100578
Предмет: История,
автор: Violetta30987
Предмет: Алгебра,
автор: кккк54