Предмет: Алгебра,
автор: kitorimaoutoushinaga
Помогите с алгеброй, срочно
Приложения:
Ответы
Автор ответа:
1
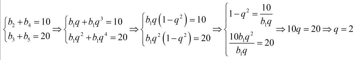
Ответ:
2
Объяснение:
////////////////////////
Приложения:
Похожие вопросы
Предмет: Русский язык,
автор: matveydashkevich
Предмет: Русский язык,
автор: lorddremora5
Предмет: Окружающий мир,
автор: natamalz
Предмет: История,
автор: кити57
Предмет: Алгебра,
автор: elenaky81