Предмет: Алгебра,
автор: lerochkaaales
срочно
нужно просто решить этот пример .
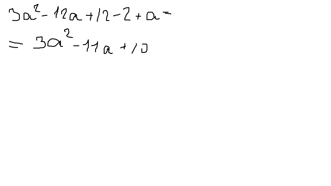
3(а-2)^2-(2-а)
Ответы
Автор ответа:
0
Получится вот так :)
Приложения:
Автор ответа:
0
нужно представить выражение в виде произведения двух многочленов тоесть вынести общ множ за скобку
Похожие вопросы
Предмет: История,
автор: Аноним
Предмет: Английский язык,
автор: alikairullin
Предмет: Физика,
автор: yefryushkina07
Предмет: Алгебра,
автор: futolist