Предмет: Алгебра, автор: xakerotstan09

ПОМОГИТЕ ПОЖАЛУЙСТА СРОЧНО ДАЮ 75 БАЛЛОВ
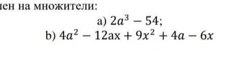
РАЗЛОЖИТЕ МНОГОЧЛЕН НА МНОЖИТЕЛИ ​

Приложения:

Ответы

Автор ответа: aliya28102007
0

Ответ:

2а³-54 = 2(а³-27) = 2(а-3)(а²+3а+9).

4а²-12ах+9х²+4а-6х = (2а-3х)²+2(2а-3х) = (2а-3х)(2а-3х+2).

Объяснение:

Похожие вопросы
Предмет: Русский язык, автор: simamnacakanya
Предмет: Литература, автор: kk210420041
О чем стихотворение М.Ю. Лермонтова "Опять, народные витии"?

1

Опять, народные витии,
За дело падшее Литвы
На славу гордую России,
Опять шумя, восстали вы.
Уж вас казнил могучим словом
Поэт, восставший в блеске новом
От продолжительного сна,
И порицания покровом
Одел он ваши имена.

2

Что это: вызов ли надменный,
На битву ль бешеный призыв?
Иль голос зависти смущенной,
Бессилья злобного порыв?..
Да, хитрой зависти ехидна
Вас пожирает; вам обидна
Величья нашего заря;
Вам солнца божьего не видно
За солнцем русского царя.

3

Давно привыкшие венцами
И уважением играть,
Вы мнили грязными руками
Венец блестящий запятнать.
Вам непонятно, вам несродно
Все, что высоко, благородно;
Не знали вы, что грозный щит
Любви и гордости народной
От вас венец тот сохранит.

4

Безумцы мелкие, вы правы.
Мы чужды ложного стыда!
....................

5

Но честь России невредима.
И вам, смеясь, внимает свет...
Так в дни воинственные Рима,
Во дни торжественных побед,
Когда триумфом шел Фабриций
И раздавался по столице
Восторга благодарный клик,
Бежал за светлой колесницей
Один наемный клеветник.