Предмет: Алгебра,
автор: NdndnN
ООООООООЧЕНЬ НУЖНО!!!ДАЮ 55 Б!!!
ПОДРОБНО
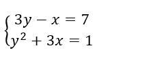
Системы уравнений второй степени:
Приложения:
Olyaznania123:
Через дискриминант решать можно?
Ответы
Автор ответа:
1
ответ смотри во вложениях) только отметь лучший ответ
Приложения:
Похожие вопросы
Предмет: Русский язык,
автор: ведро1
Предмет: Русский язык,
автор: Кема07
Предмет: Английский язык,
автор: goncharov2006
Предмет: Математика,
автор: karinessa13