Предмет: Алгебра,
автор: iliakamolov14
Помогите решить разложить на множетели даю 35 балов
Приложения:
Ответы
Автор ответа:
0
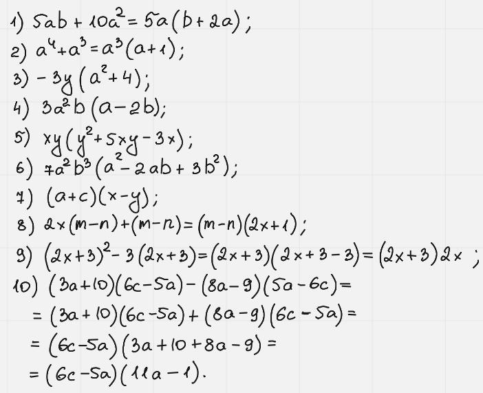
Ответ:
Ответы на листочке
Объяснение:
Приложения:
Похожие вопросы
Предмет: Русский язык,
автор: yuves
Предмет: Русский язык,
автор: Ната3005
Предмет: Русский язык,
автор: atevs20100
Предмет: Обществознание,
автор: dantv1058