Предмет: Алгебра,
автор: Аноним
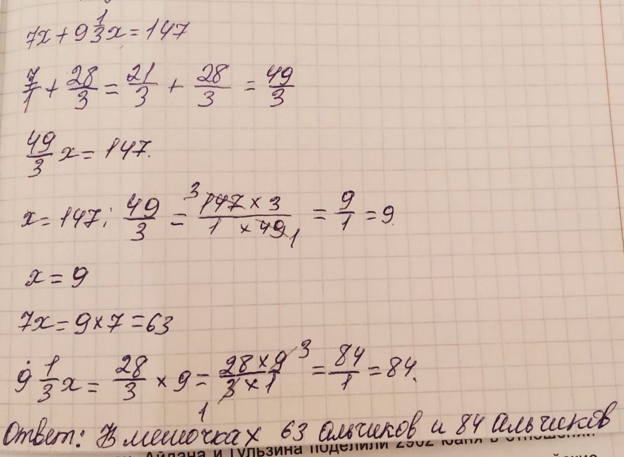
347. У Эркина 147 альчиков в двух мешочках. Сколько альчиков в каждом мешочке, если количество альчиков в мешочках находится в отно-
шении 7:

?
(С подробным решением надо не брать с интернета и на листочке напишите пожалуйста )
Аноним:
альчики -это кости
Ответы
Автор ответа:
12
Ответ : В шешочках 63 и 84 альчика .
AdylbaevaAliya12
Приложения:
Автор ответа:
3
Ответ: 63; 84.
Объяснение:
Найдем сумму альчиков в частях:
1)
7+9 1/3=7+28/3=49/3
Сколько альчиков приходися на одну часть.
2)
147:49/3=9.
3)
В первом мешочке:
9*7=63.
Во втором мешочке:
9*9 1/3=9*28/3=84.
Похожие вопросы
Предмет: Українська мова,
автор: 16s
Предмет: Русский язык,
автор: aporeshkova
Предмет: Русский язык,
автор: yul0015
Предмет: География,
автор: яяя611
Предмет: Математика,
автор: Артур2222222