Предмет: Алгебра,
автор: evgenijmoroz20p839fw
Пожалуйста, помогите с решением задачи:
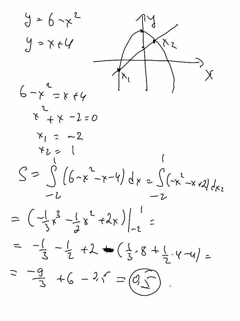
Найдите площадь фигуры, ограниченной графиками функций и y = x + 4
Ответы
Автор ответа:
1
_____________________________________________________________
Приложения:
Похожие вопросы
Предмет: Русский язык,
автор: sneginka197979
Предмет: Русский язык,
автор: liya2508
Предмет: Английский язык,
автор: maxbortnik
Предмет: География,
автор: Daniil230000
Предмет: Английский язык,
автор: Takoxarshiladze