Предмет: Математика,
автор: wwwmatvei2746
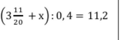
погите пж срочно 20 б
Приложения:
Ответы
Автор ответа:
2
Ответ:
Пошаговое объяснение:
Приложения:
wwwmatvei2746:
спасибо
Пожалуйста
Автор ответа:
0
Ответ:
Приложения:
Похожие вопросы
Предмет: Русский язык,
автор: milanagulova1
Предмет: Русский язык,
автор: котофей9
Предмет: Русский язык,
автор: popova1985kseniya
Предмет: Математика,
автор: Сев2006
Предмет: Обществознание,
автор: VladGreen2006