Предмет: Алгебра,
автор: ghh1122907
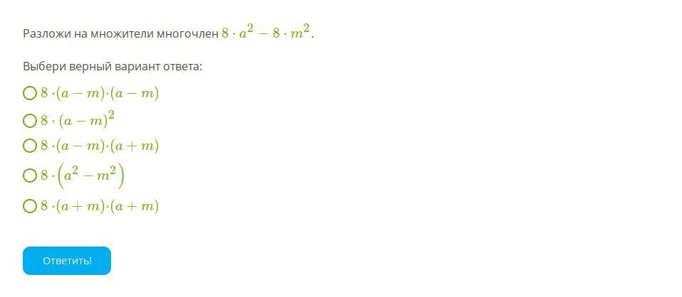
алгебра помогите плиз
Приложения:
Ответы
Автор ответа:
1
Ответ:
ответ - 8(a²-m²)
Похожие вопросы
Предмет: Русский язык,
автор: catherine3mlove
Предмет: Русский язык,
автор: айка43
Предмет: Русский язык,
автор: юлия882
Предмет: Математика,
автор: simcristina201
Предмет: Химия,
автор: Франц11