Предмет: Математика,
автор: nfjdjdjfjfjf
Помогите пожалуйста .5
Приложения:
Ответы
Автор ответа:
0
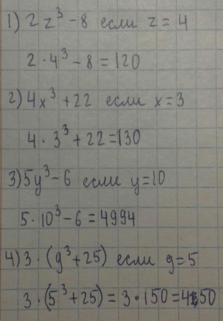
Ответ:
решение смотри на фотографии
Приложения:
Автор ответа:
0
Ответ:
Ответ на фото
Пошаговое объяснение:
Ответ на фото
Приложения:
Похожие вопросы
Предмет: Русский язык,
автор: тигго
Предмет: Беларуская мова,
автор: efimovich1980
Предмет: Окружающий мир,
автор: Джулиана5
Предмет: Геометрия,
автор: егорео
Предмет: Русский язык,
автор: nelliselimyan